中国科技核心期刊
(中国科技论文统计源期刊)
  Scopus收录期刊

石油科学通报 ›› 2025, Vol. 10 ›› Issue (5): 941-953. doi: 10.3969/j.issn.2096-1693.2025.03.022

• • 上一篇    下一篇

基于PU学习与递减模型的页岩油产能预警方法

李宏宏1(), 郑力会1,*(), 左学谦2, 齐涛2, 李思琦2, 赵鑫祎1, 郑马嘉3,4   

  1. 1 中国石油大学(北京)人工智能学院,北京 102249
    2 昆仑数智科技有限责任公司,北京 102206
    3 中国石油勘探开发研究院,北京 100083
    4 中国石油西南油气田公司开发事业部,成都 610051
  • 收稿日期:2025-06-23 修回日期:2025-09-10 出版日期:2025-10-15 发布日期:2025-10-21
  • 通讯作者: *郑力会(1968年—),博士,教授,主要从事储层伤害控制、绒囊流体、防漏堵漏方面的研究,zhenglihui@cup.edu.com
  • 作者简介:李宏宏(1983年—),博士研究生,主要研究方向为油气生产智能化,lihonghong01@cnpc.com.cn

Shale oil production warning method based on PU Learning and decline model

LI Honghong1(), ZHENG Lihui1,*(), ZUO Xueqian2, QI Tao2, LI Siqi2, ZHAO Xinyi1, ZHENG Majia3,4   

  1. 1 College of Artificial Intelligence, China University of Petroleum, Beijing 102249, China
    2 Kunlun Digital Technology Co. Ltd., Beijing 102206, China
    3 Research Institute of Petroleum Exploration and Development, Beijing 100083, China
    4 China National Petroleum Corporation Development Division of Southwest Oil and Gas Field Branch, Chengdu 610051, China
  • Received:2025-06-23 Revised:2025-09-10 Online:2025-10-15 Published:2025-10-21
  • Contact: *zhenglihui@cup.edu.com

摘要:

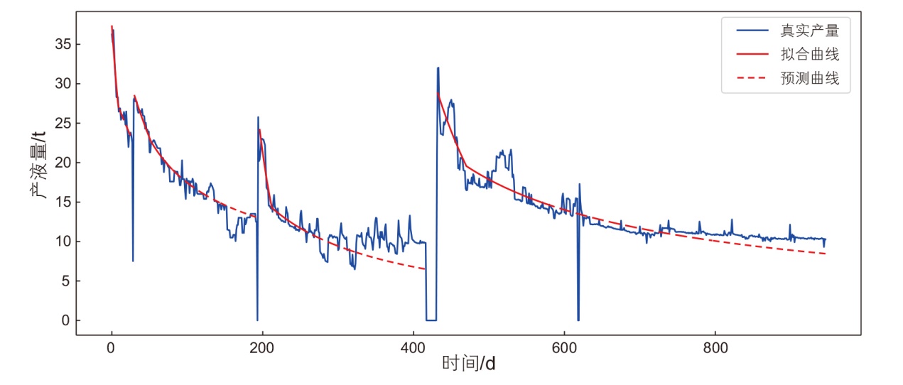
页岩油井在生产过程中普遍存在产量快速递减的问题,需依赖频繁实施增产措施以维持稳定产能。然而,在实际生产管理中,准确判断油井生产是否“异常递减”面临挑战。一方面,页岩油产量受地层条件和工况波动影响显著,预测难度较大;另一方面,现场增产措施虽频繁实施,但相关记录往往不完整或缺失,导致模型识别与分析的困难。本文针对上述挑战,提出了一种融合正样本和无标签学习(Positive-Unlabeled Learning, PU Learning)与经典递减模型的页岩油井异常产量递减预警方法。首先,构建基于长短期记忆网络(Long Short-Term Memory, LSTM)的PU学习模型,利用少量已有明确标注的增产措施数据与大量未标注样本,识别油井在生产周期中潜在的增产干预时间点,并将油井产量曲线划分为多个“自然递减段”。随后,针对各段自然产量递减过程,建立双指数递减模型进行拟合,提取关键递减参数,并构建区域历史递减特征分布作为判断基线。在此基础上,提出基于递减参数分布百分位的异常识别机制,实现对产量异常快速递减井段的精准预警。实证研究基于我国某典型页岩油区块2021——2024年600余口油井的历史生产数据,结果表明:所构建的PU-LSTM识别模型在标签不完备条件下具备良好的增产时间点判别能力,双指数递减模型拟合精度高、稳定性好,整体预警体系在油井运行监测与干预时机判断中具有较强的实用性和工程推广价值。

关键词: 页岩油, 产能预警, PU学习, 产量递减模型, LSTM

Abstract:

Shale oil wells commonly experience rapid production decline throughout their productive life, requiring frequent well interventions to maintain stable production. However, accurately identifying “abnormal decline” poses significant challenges in field management. On one hand, shale oil production is highly sensitive to reservoir conditions and operational fluctuations, which makes prediction difficult. On the other hand, although well interventions are frequently implemented, the corresponding records are often incomplete or missing, which hinders effective modeling and analysis. To address these challenges, this paper proposes an early warning method for abnormal production decline by integrating Positive-Unlabeled (PU) Learning with classical decline curve models. First, an LSTM-based PU Learning model is constructed to identify potential intervention points during the productive life. The model is trained on limited labeled intervention data and a large volume of unlabeled data.The production curve of each well is then segmented into multiple “natural decline intervals.” Next, a double exponential decline model is employed to fit the production data within each interval, from which key decline parameters are extracted. The historical distribution of these decline parameters serves as the baseline for comparison. Based on this, an anomaly detection mechanism is developed using percentile thresholds of decline parameters to issue early warnings for segments exhibiting abnormally rapid decline. An empirical study was conducted using historical production data from over 600 wells in a typical shale oil block in China from 2021 to 2024. The results demonstrate that the proposed PU-LSTM model effectively identifies intervention points, even with incomplete data labeling. The decline model exhibits high fitting accuracy and robustness, and the overall warning system shows strong practical applicability and potential for broad engineering application in well performance monitoring and optimizing intervention timing.

Key words: shale oil, production early warning, positive-unlabeled (PU) Learning, production decline model, LSTM

中图分类号: