中国科技核心期刊
(中国科技论文统计源期刊)
  Scopus收录期刊

石油科学通报 ›› 2025, Vol. 10 ›› Issue (6): 1167-1187. doi: 10.3969/j.issn.2096-1693.2025.01.031

• • 上一篇    下一篇

基于反射率法的黏弹各向异性介质地震响应分析

王永平1,2, 李景叶1,2,*(), 杨骐羽1,2, 韩磊1,2, 张宇宁1,2   

  1. 1 中国石油大学(北京)油气资源与工程全国重点实验室北京 102249
    2 中国石油大学(北京)地球物理学院北京 102249
  • 收稿日期:2025-10-22 修回日期:2025-11-24 出版日期:2025-12-30 发布日期:2025-12-30
  • 通讯作者: *李景叶(1978年—),博士,教授,从事时移地震解释、叠前AVO反演、多波联合反演、岩石物理等方面研究,lijingye@cup.edu.cn
  • 作者简介:王永平(1998年—),博士研究生,从事裂缝性储层的岩石物理建模、裂缝定量表征、各向异性分析等方面研究,wypcup@126.com
  • 基金资助:
    中国石油天然气集团有限公司关键核心技术攻关项目“碳酸盐岩储层裂缝识别与表征关键技术研究”(2024ZG21)

Seismic response analysis of viscoelastic and anisotropic media based on reflectivity method

WANG Yongping1,2, LI Jingye1,2,*(), YANG Qiyu1,2, HAN Lei1,2, ZHANG Yuning1,2   

  1. 1 State Key Laboratory of Petroleum Resources and Engineering, China University of Petroleum, Beijing 102249, China
    2 College of Geophysics, China University of Petroleum, Beijing 102249, China
  • Received:2025-10-22 Revised:2025-11-24 Online:2025-12-30 Published:2025-12-30

摘要:

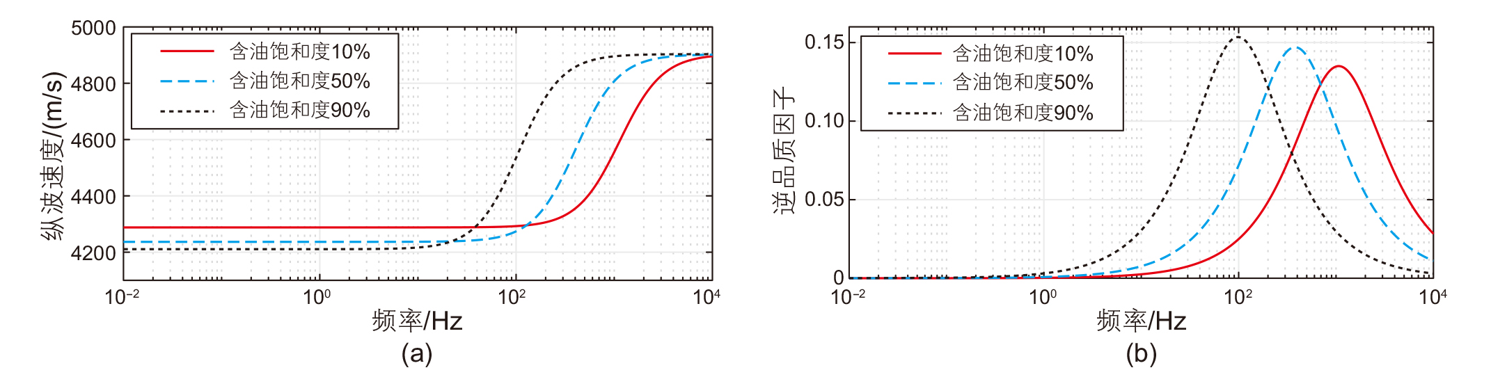
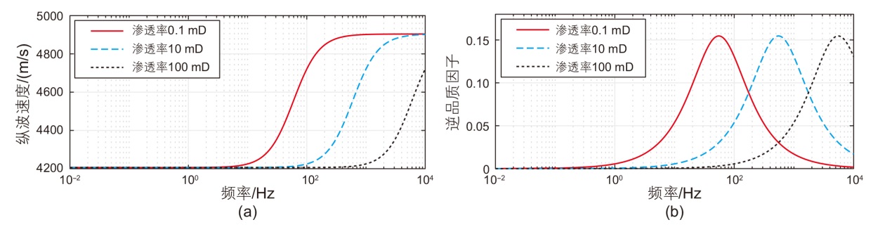
随着油气勘探持续向深层乃至超深层推进,储层各向异性与黏弹性特征的精细表征成为亟待解决的关键问题。系统研究黏弹各向异性地层的地震响应特征,对提高后续储层预测的精度具有重要的指导意义。本文首先引入多尺度裂缝系统的等效岩石物理模型,分析储层物性参数对纵波衰减与频散的影响机制。随后利用各分界面的应力应变连续边界条件,采用复合矩阵法逐层递推求解反射系数,并与子波褶积得到模拟地震记录,由此推导出了基于一维波动方程解析解的黏弹各向异性介质正演方程。传统的AVO正演方法假设反射界面上下为无限半空间介质,即单界面假设;新方法突破了该假设的限制,能够综合刻画地震波振幅随方位角与入射角的变化规律,考虑流体引起的频散与衰减效应以及层间多次波、转换波和透射损失等传播效应,从而更加真实地反映地震波在复杂介质中的传播特征。最后利用所建立的黏弹各向异性介质正演理论,开展基于简单层状模型和实际测井数据的模拟地震响应研究,揭示含油饱和度、裂缝密度等储层参数对地震响应的影响规律,为复杂储层的裂缝识别与流体预测提供了新的理论支撑和技术参考。

关键词: 黏弹各向异性, 裂缝储层, 地震正演, 解析求解, 岩石物理模型

Abstract:

With the continued expansion of oil and gas exploration into deep and ultra-deep formations, the refined characterization of reservoir anisotropy and viscoelastic behavior has become an urgent and critical challenge. Systematic investigation of the seismic response of viscoelastic anisotropic formations is essential for improving the accuracy of reservoir prediction. In this study, an equivalent petrophysical model incorporating a multi-scale fracture system is introduced to elucidate the mechanisms by which reservoir physical parameters influence P-wave attenuation and dispersion. Subsequently, by enforcing stress-strain continuity at each interface and applying the composite matrix method, reflection coefficients are recursively computed for layered media and convolved with a source wavelet to generate synthetic seismic records. A forward-modeling formulation for viscoelastic anisotropic media is derived from the analytical solution of the one-dimensional wave equation. Traditional AVO forward modeling typically assumes that the media above and below a reflection boundary are infinite half-spaces, that is, the single-interface assumption. The proposed method overcomes this limitation by enabling a comprehensive description of amplitude variations with both incidence angle and azimuth, while simultaneously accounting for fluid-induced dispersion and attenuation as well as propagation effects such as interbed multiple reflections, mode conversions, and transmission losses. This leads to a more realistic representation of seismic-wave propagation in complex media. Finally, the developed viscoelastic anisotropic forward-modeling framework is applied to both simplified layered models and well-log-constrained models to investigate seismic responses under varying reservoir conditions. The results clarify how reservoir parameters such as oil saturation and fracture density influence seismic signatures, providing new theoretical support and technical guidance for fracture characterization and fluid prediction in complex reservoirs.

Key words: viscoelastic and anisotropic, fractured reservoir, seismic modeling, analytical solution, petrophysical model

中图分类号: