中国科技核心期刊
(中国科技论文统计源期刊)
  Scopus收录期刊

石油科学通报 ›› 2026, Vol. 11 ›› Issue (1): 302-312. doi: 10.3969/j.issn.2096-1693.2026.03.007

• • 上一篇    

孔喉中油基泡沫的流动特性与稳定性分析

汪周杰1,2(), 李松岩3, 蔡建超1,2,*()   

  1. 1 中国石油大学(北京)油气资源与工程全国重点实验室,北京 102249
    2 中国石油大学(北京)地球科学学院,北京 102249
    3 中国石油大学(华东)非常规油气开发教育部重点实验室,青岛 266580
  • 收稿日期:2025-10-14 修回日期:2025-12-12 出版日期:2026-02-15 发布日期:2026-02-12
  • 通讯作者: * 蔡建超(1981年—),博士,教授,主要从事油气储层岩石微观表征与输运物理等方面的研究,caijc@cup.edu.cn
  • 作者简介:汪周杰(1996年—),博士,助理研究员,主要研究方向为泡沫流体增产方面的研究,wzj2025@cup.edu.cn
  • 基金资助:
    中国石油大学(北京)科研基金(2462025XKBH019);中国博士后科学基金(2025M782978)

Flow characteristics and stability analysis of oil-based foam in pore-throat structures

WANG Zhoujie1,2(), LI Songyan3, CAI Jianchao1,2,*()   

  1. 1 State Key Laboratory of Petroleum Resources and Engineering, China University of Petroleum, Beijing 102249, China
    2 College of Geosciences, China University of Petroleum, Beijing 102249, China
    3 Key Laboratory of Unconventional Oil & Gas Development, China University of Petroleum (East China), Qingdao 266580, China
  • Received:2025-10-14 Revised:2025-12-12 Online:2026-02-15 Published:2026-02-12
  • Contact: *caijc@cup.edu.cn

摘要:

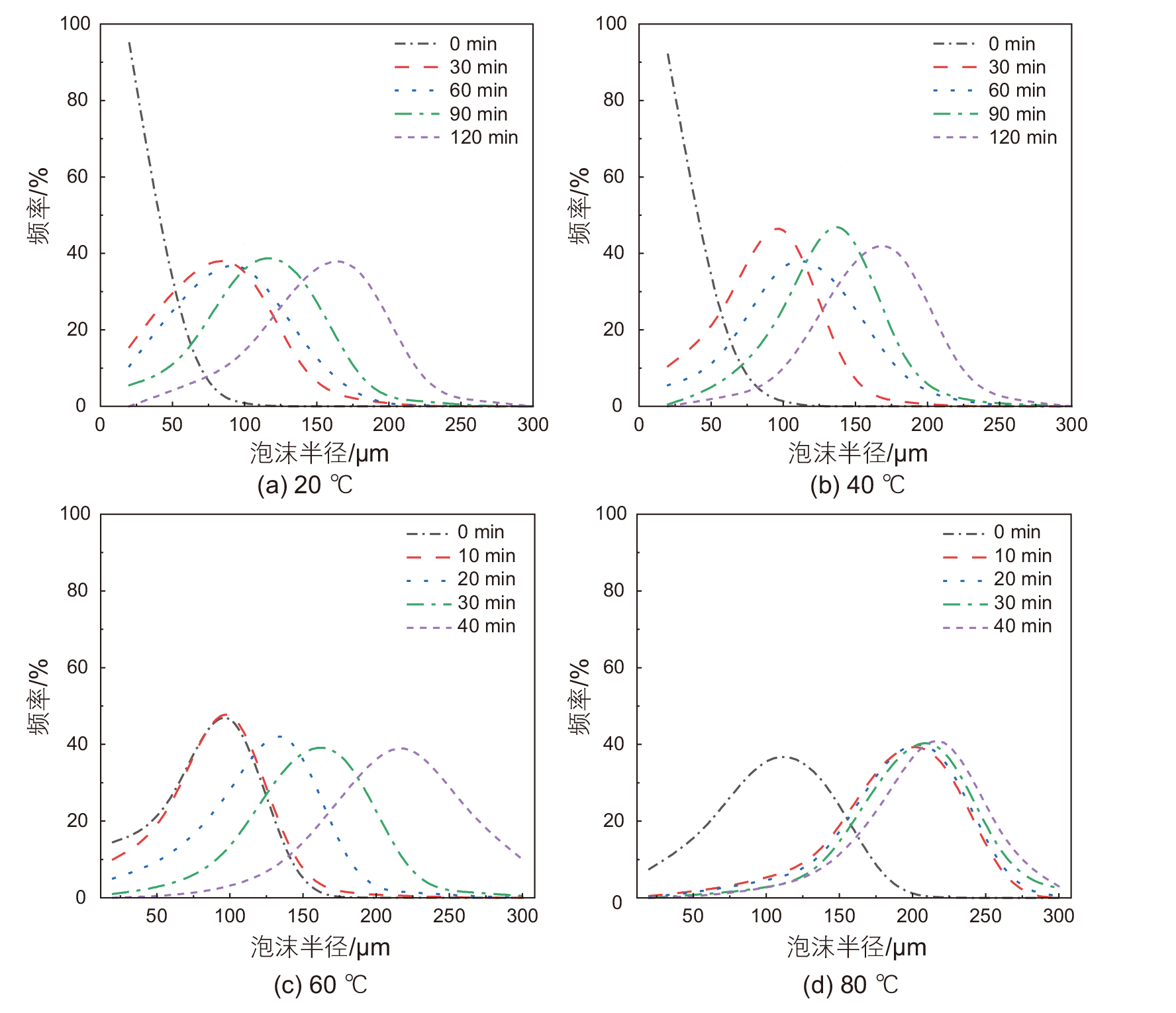
油基泡沫在提高采收率及地下流体调控中具有重要应用潜力,但其在高温储层条件下的稳定性及孔喉尺度下的运移机理仍缺乏系统认识。针对这一问题,本文以油基泡沫体系为研究对象,系统开展了不同温度条件下泡沫稳定性实验,并结合孔喉尺度数值模拟分析泡沫在多孔介质中的形变与突破行为。实验结果表明,随着温度升高,泡沫液膜排液加剧、气体扩散增强,泡沫数量减少、气泡平均尺寸增大,稳定性显著降低。模拟结果表明,孔喉直径与注入压力共同控制气泡在孔喉中的形态演化与突破行为,毛细管力与外部驱动力之间的竞争机制是影响油基泡沫运移特征的关键因素。本研究在同一体系下建立了温度效应与孔喉约束效应的统一力学解释框架,为油基泡沫在高温储层中的应用提供了理论参考。

关键词: 油基泡沫, 稳定性, 流动机制, 注入压力, 孔喉直径

Abstract:

Oil-based foams hold significant potential for enhancing oil recovery and regulating subsurface fluid flow, yet their stability under high-temperature reservoir conditions and their transport mechanisms within pore-throat structures remain insufficiently understood. To address this gap, this study systematically investigates the behaviour of an oil-based foam system through temperature-dependent stability experiments, complemented by pore-scale numerical simulations that characterize bubble deformation and breakthrough within porous media. Experimental results show that increasing temperature accelerates liquid drainage and gas diffusion within the foam films, leading to a reduction in the number of bubbles, enlargement of average bubble size, and a pronounced decline in overall foam stability. Simulation results further demonstrate that pore-throat diameter and injection pressure jointly govern bubble morphology evolution and breakthrough behaviour, with the competition between capillary forces and external driving pressure emerging as the key mechanism influencing oil-based foam mobility. By integrating these findings, this work establishes a unified mechanical framework linking temperature effects and pore-throat confinement, thereby providing theoretical support for the application and optimization of oil-based foams in high-temperature reservoirs.

Key words: oil-based foam, stability, flow mechanism, injection pressure, pore-throat diameter

中图分类号: